Հայաստանում NAN կաթնախառնուրդը հետ են կանչում. Այն կարող է առացջնել ստամոքսի ցավեր, փսխում
Հասարակություն
Նեսթլե (Nestlé) ընկերությունը համաշխարհային մակարդակով հետ է կանչել որոշ մանկական կաթնախառնուրդներ՝ կապված ցերևիլիդ տոքսինով աղտոտման հավանական ռիսկ հայտնաբերելու հետ (կարող է առաջացնել սրտխառնոց, փսխում և ստամոքսի ցավեր):
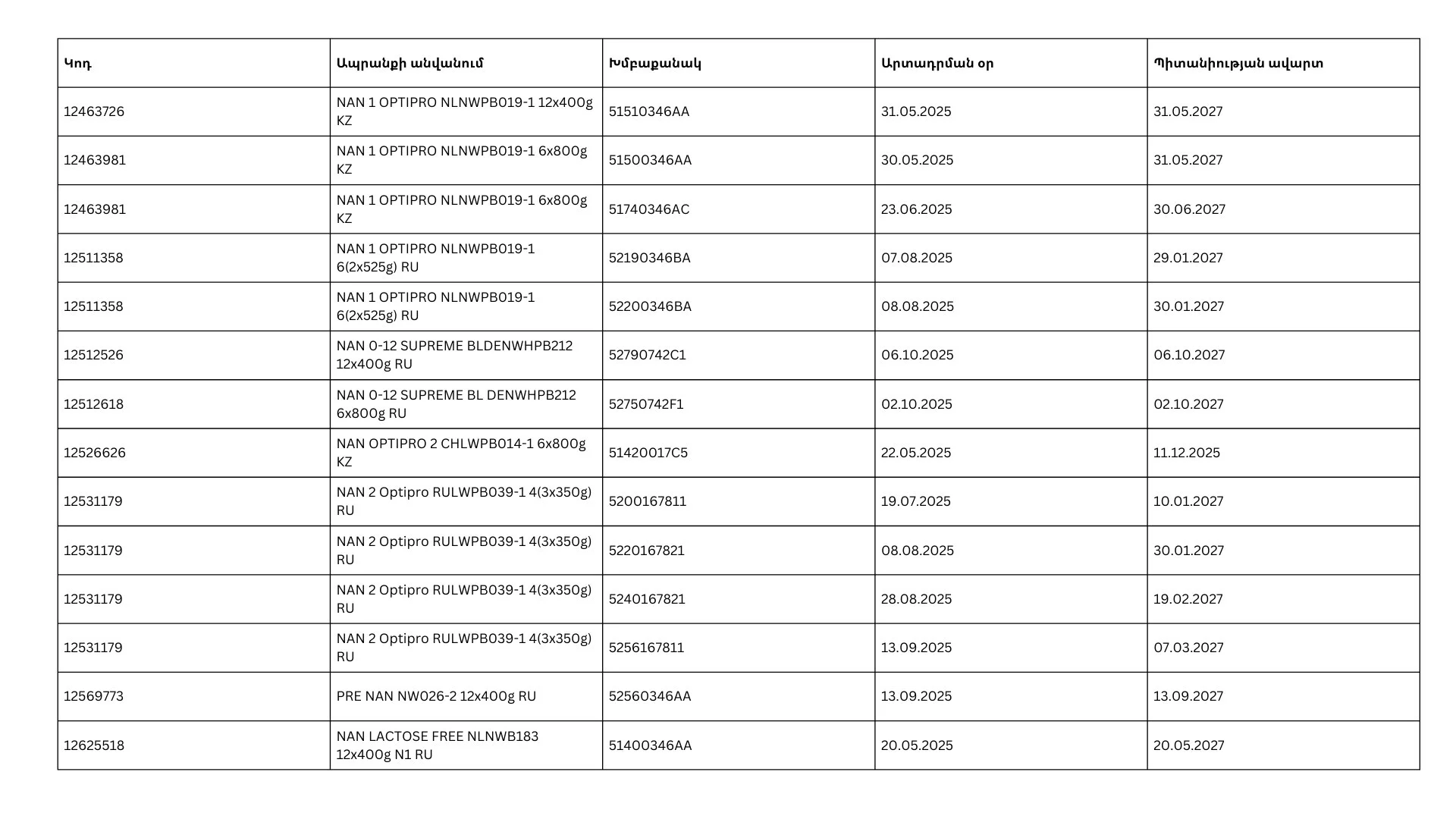
Սննդամթերքի անվտանգության տեսչական մարմնի պահանջով՝ NAN ապրանքանիշի նշված խմբաքանակները Հայաստանի Հանրապետություն ներմուծող ընկերություններն անմիջապես սկսել են հետկանչի՝ վաճառքի կետերից հավաքելու գործընթացը:
«Թեև այս արտադրանքի հետ կապված հիվանդության հաստատված դեպքեր չեն արձանագրվել, սակայն հետկանչը կատարվում է նախազգուշական նպատակով։ Եթե իրացման ցանցում կտեսնեք տուփեր NAN ապրանքանիշի նշված խմբաքանակներից՝ հորդորում ենք չգնել դրանք և անմիջապես տեղեկացնել Տեսչական մարմնին՝ թեժ գծի միջոցով՝ 118. այն շուրջօրյա է և անվճար»,-նշում են ՍԱՏՄ-ից։


















































Ամենադիտված
«Անցած գիշեր Գյումրիի երկնքում բնակիչները ֆիքսել են այսպիսի լուսին». Գագիկ Սուրենյան (տեսանյութ)